
责任编辑:张梅凤 来源:山东省农药研究所 日期:2012-03-13
2-芳基吗啉及其盐作为杀虫剂的应用

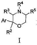
本发明公开了化学结构式I所示的2-芳基吗啉或其盐作为杀虫剂的应用,其中,R2选自:H,OH或OR1,其中R1选自:C1~C2烷基,C3~C4直链烷基或支链烷基,R3选自:H,C1~C2烷基,C3~C4直链烷基或支链烷基,R4选自:H,C1~C2烷基,C3~C4直链烷基或支链烷基,羟乙基,苄基,R5选自:H,C1~C2烷基 小草影院,C3~C4直链烷基或支链烷基,苯基或取代苯基,Ar选自:苯基,取代苯基或6-甲氧基-2-萘基,其盐选自盐酸盐,氢溴酸盐,硫酸盐,硝酸盐或磷酸盐, 。
申请人:湖南大学
申请号:CN 201110060403.1
申请日:2011.03.14
公开日:2011.09.14